Theory
An oscillator is basically an amplifier with positive feedback. But the positive feedback will make the amplifier unstable and send it to saturation. So, need to make some circuit setups to ensure it is stable and the positive feedback is not sending it to saturation. For making this possible there is one criterion called "Barkhausen stability criteria." As per this, for making a sustainable oscillation, we should ensure the loop gain (overall gain including amplifier and feedback loop) is 1 and the phase shift is 360 degrees. The phase shift here is produced using a 3-stage RC network and the amplifier. The amplifier is making 180 degrees, and each RC stage is producing 60 degrees. So the total is 180 + (60*3) = 360 degrees. So the phase criterion is satisfied. Now the gain should be one; normally for the RC network, it will produce an attenuation of 29 at its passing frequency, so the gain of the amplifier should be 29. It would be beneficial to include a preset that allows us to adjust the gain, enabling us to fine-tune the circuit. Next, we will discuss the frequency of oscillation. For making a particular frequency, we have to work on the feedback loop. Based on which frequency is passed by the feedback, the frequency will amplify and produce an output. So the oscillator will work at that frequency. For finding that simply, we can use RC time constant logic.
Circuit Explanation
In the circuit, all the necessary sections are indicated. We can start the explanation from the power supply section.

Power Supply
It is a simple series resistor circuit (RC circuit). It will give some sort of voltage fluctuation isolation from the power supply. The capacitor is fully charged after connecting with a power source. If the supply voltage has one small dip in voltage, then the capacitor will provide the current to our circuit and reduce the dip in our circuit. Also, at the same time, the capacitor will give current to the power source through the resistor, but due to the resistance, the current will be limited, but in our circuit, it can deliver more current because the capacitor is just parallel to our circuit. So, in this way it will give a voltage fluctuation isolation from the power source. This type of circuit will work only for small current-consuming circuits. The current consumption is very low, so the resistor will not make any considerable voltage drop.
Feedback network (RC phase shift 3-stage)
The feedback network is deciding the oscillation frequency. Here it is a 3-stage network with equal values of resistances and capacitances. It produces the necessary 180-degree phase shift for the required oscillation frequency. In one of the stages, added a preset to adjust the frequency a little bit to correct the errors. Resistors and capacitors are used as a combination of multiple in parallel to reduce the tolerance effect. Also, we can achieve nonstandard values this way. The feedback is connected to the transistor base through one capacitor to avoid disturbing the BJT biasing due to the feedback network.
Amplifier using BJT
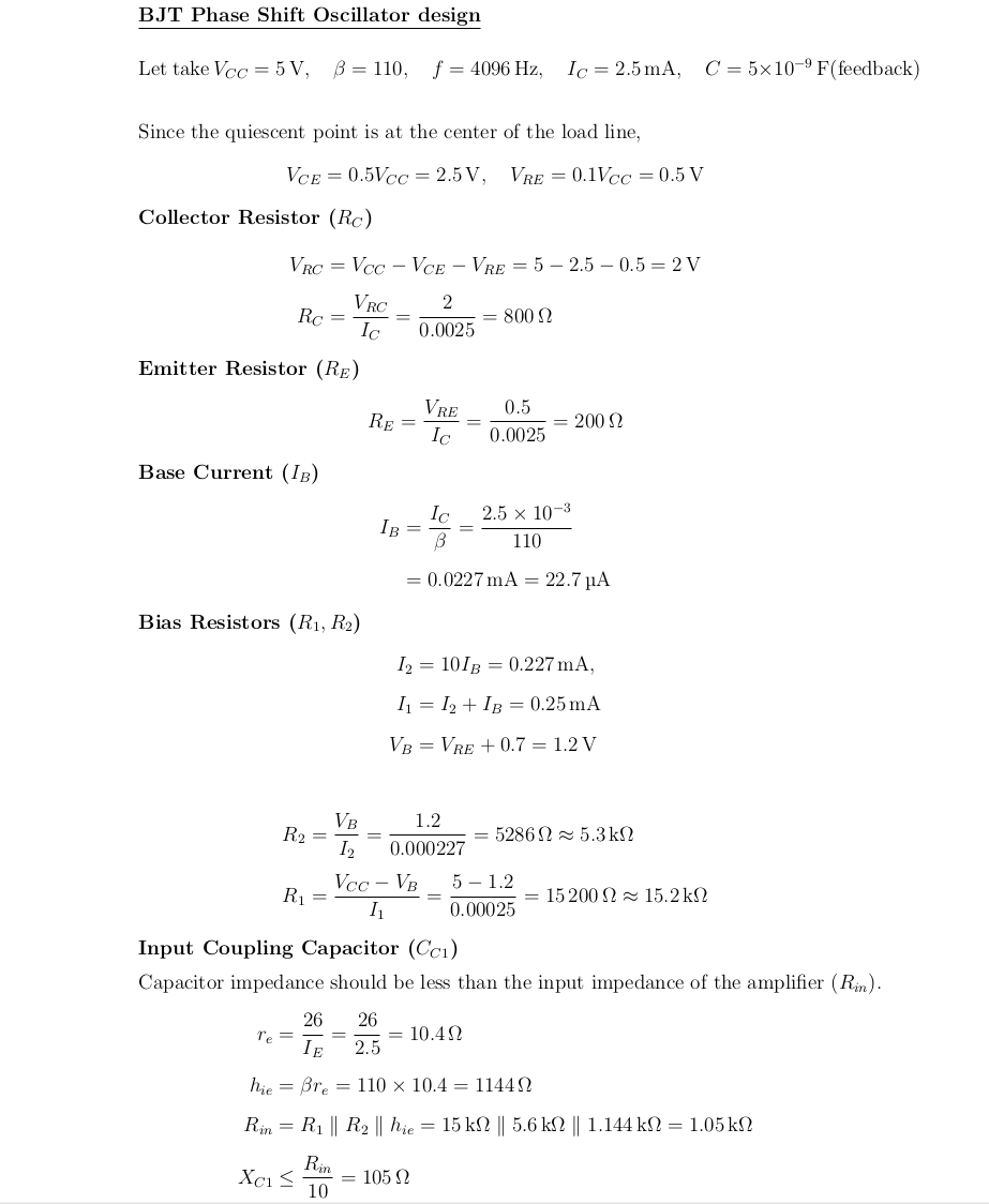
It is a simple RC-coupled amplifier. The gain is set around 29 to make an overall gain of unity to ensure the oscillation. The gain we can adjust using the emitter preset to keep the oscillator in the working region. Base resistors are used to bias the BJT. Here also introduced the parallel combination logic to reduce tolerance. The full design flow is given below


Results
The current consumption of the circuit is 3mA @ 4098Hz and 5V.
Discrete Electronics Guy